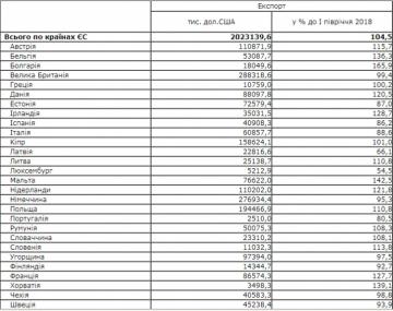
Экспорт украинских товаров в ЕС относительно 1-го полугодия 2018 вырос на 5% в 1-м полугодии 2019
Рост экспорта украинских товаров на территории ЕС в 1-м полугодии 2019 года относительно 1-го полугодия прошлого года составил 5%.
Такие данные опубликовала Государственная служба статистики.
Согласно товарной структуре внешней торговли со странами ЕС за I полугодие 2019 года, экспорт украинских товаров составил 10 млрд 284 млн 296,9 тыс. долларов.
Торговля услугами за последние полгода составила 2 млрд 23 млн 139,6 тыс. долларов. Рост относительно первого полугодия 2018 – 4,5%.

Опубликовано на сайте: 2019-09-02
Комментарии к этой статье:
Мировая экономика. Нефть в очередной раз взлетела выше 100 долларов за баррель между 22 и 23 апреля 2026 г.
TraidingEconomics
В Китае безработица среди лиц в возрасте от 25 до 29 лет выросла до 7,7% на фоне войны в Иране и развития ИИ в марте 2026 г.
Bloomberg
Мировая экономика. Война в Иране и неблагоприятная погода: на мировом рынке резко подорожал кофе в апреле 2026 г.
UkrAgroConsult
ЕС разблокировал пакет поддержки для Украины на 90 миллиардов евро в апреле 2026 г.
Президент Украины Владимир Зеленский
В Китае крупнейшее в мире скопление яиц динозавров получило «нанозащиту»
Группа ученых под руководством профессора Дэн Цзяньго
Научный прорыв: странное поведение квантовых частиц объяснили с помощью классической физики
Исследование ученых из Массачусетского технологического института
Сокровища древней цивилизации: на греческом острове обнаружили золотые украшения бронзового века
На греческом острове Эгина нашли коллекцию золотых украшений
Таких артефактов еще не было: в Швейцарии нашли редкий артефакт римской эпохи
Раскопки неподалеку от древнего римского поселения Виндонисса, Швейцария
Миссия "Артемида-2": что случилось с космическим кораблем при входе в атмосферу Земли
NASA
Длительное использование ИИ-собеседников усиливает чувство одиночества
Исследование финского университета Аалто
Украина. Государственный долг сократился на $1,8 млрд в феврале 2025 г.
Министерство финансов Украины
Китай. Индекс потребительских цен вырос на 1% в марте 2026 года
Государственное статистическое управление /ГСУ/ КНР
Китай. Рост индекса цен производителей возобновился спустя 41 месяц падения в марте 2026 г.
Государственное статистическое управление /ГСУ/ КНР
Украина. Расходы госбюджета выросли на 7,1% за январь-март 2026 года
Министерство финансов Украины
Число грузовых поездов Китай-Европа по Сианьскому транскаспийскому маршруту увеличилось на 150% в І кв. 2026 года
Синьхуа
Япония. Средняя цена новой квартиры в центре Токио выросла на 18,5% в 2025 ф.г.
Kyodo News
В Западной Германии по-прежнему зарабатывают примерно на 17% больше, чем их коллеги на востоке
Данные Федерального статистического управления Германии
Япония. Положительное сальдо торгового баланса составило $4,1 млрд в марте 2026 г.
Министерство финансов Японии
Немецкая автомобильная промышленность переориентируется на оборонное производство
The Wall Street Journal
Во Франции подготовят новый пакет помощи наиболее пострадавшим секторам
Премьер-министр Франции Себастьен Лекорню
Китай обогнал США и стал крупнейшим торговым партнером Индии в 2025/2026 ф.г.
Hindustan Times
Мировая экономика. Главы центральных банков стран мира увидели угрозу банковской системе от ИИ
По итогам весенних встреч МВФ и Всемирного банка в Вашингтоне
Польша столкнулась с кризисом перепроизводства картофеля в 2026 г.
Заместитель министра сельского хозяйства Польши Малгожата Громадзка
Франция. Поддержка фермерским хозяйствам будет оказана за счет социальных взносов
Министерство сельского хозяйства Франции
Испания. Налоговая нагрузка на работника достигла 53,6% от стоимости рабочей силы
Институт Хуана де Марианы в исследовании Impuest?metro 2026
Турция. Доля солнечной и ветровой энергии достигла 22% в 2025 году
Отчет аналитического центра Ember "Turkiye Electricity Review 2026"
Глубоководное бурение стартовало у побережья Сомали при поддержке Турции
Министр энергетики Турции Альпарслан Байрактар
Новый китайский военный транспортный самолет превосходит лучший в мире аналог из США
Ученые из Бэйханского университета
Турция. Центробанк продал 52 тонны золота для стабилизации курса лиры с 27 февраля по 27 марта 2026 г.
Financial Times
США. Бросок цен на энергоносители был самый сильный с 2005 года в марте 2026 г.
Министерство труда США
Самое сильное течение в мире навсегда изменило Землю: вмещает в 100 раз больше воды, чем все реки
Автор исследования Ханна Кналь из Института Альфреда Вегенера
Мрачное явление ранее встречалось лишь в Японии, но распространилось по всему миру: что происходит
Впервые это явление привлекло внимание в 1990-х годах благодаря японскому психологу Тамаки Сайто
Все ближе к рекорду Усэйна Болта: китайский робот достиг скорости бега 10 м/с
Китайская компания Unitree Robotics
Ловушка из обломков: каково это — оказаться внутри торнадо и выжить несмотря ни на что
Национальная лаборатория сильных штормов Национального управления океанических и атмосферных исследований (NOAA)
Франця. Установка в новостройках газовых котлов будет запрещена с конца 2026 года
Премьер-министр Франции Себастьен Лекорню
В Китае выпущено нормативное положение о безопасности производственно-сбытовых цепочек
Премьер Госсовета КНР Ли Цян
В Китае для учителей введут экзамен по искусственному интеллекту
Министерство образования КНР
Стабильность или самореализация? Китайские зумеры формируют новую "философию" трудоустройства
Синьхуа
Индия нарастила производство сжиженного нефтяного газа до 60% в марте 2026 г.
Министерство нефти Индии
Великобритания. Финансовые регуляторы оценивают риски новейшей модели ИИ от компании Anthropic
Financial Times
Украина сократила поставки муки в ЕС с 44% до 35%: крупнейшие страны-импортеры в июле-марте 2025/26
Союз "Мукомолы Украины"
Во время перемирия в Иране суда смогут ходить через Ормуз только за деньги
Associated Press
Триумф мотоцикла ZXMOTO на Чемпионате мира по супербайку /WSBK/ в Португалии — индикатор выхода промышленности КНР на качественно новый уровень
Жэньминь жибао
Мировая экономика. Apple все еще возглавляет рынок мировых поставок смартфонов в Ікв. 2026 года
Reuters
В Китае создали самый тяжелый в мире грузовой дрон: дальность полета 3000 км
Китайская компания China North Industries Group Corporation Limited
Американский ударный дрон с ИИ показал боевые возможности: уничтожает цели и ведет разведку
Компания Northrop Grumman во время учений армии США продемонстрировала боевые возможности беспилотника Lumberjack
Китай. Каждые 30 минут один человекоподобный робот: начал работу первый супер-завод
Китайские компании Leju Robotics и Dongfang Precision Science and Technology объединили усилия для создания автоматизированного завода
Германия. Представители немецкой ИТ-индустрии: создание гигафабрики по разработке ИИ в Германии - нереалистично
Мнение
Мировая экономика. Вслед за топливом на 2,4% выросли мировые цены на продовольствие в марте 2026 года
Главный экономист ФАО Максимо Тореро
"Второй Сфинкс" загадочнее, чем считалась: к нему ведут более 100 затерянных ходов
Новые кадры усугубляют загадку "второго Сфинкса", недавно обнаруженного в Египте
Океаны по всей Земле таинственно темнеют: что заставляет воду менять цвет
Тим Смит, океанограф, морской ученый из Плимутской морской лаборатории в Великобритании
Первобытные люди изобрели популярную азартную игру: во что играли в пещерах 12 000 лет назад
Ученые из Университета штата Колорадо (США)
Межзвездный объект 3I/ATLAS выбрасывает в космос 2 тонны воды в секунду: новые снимки
Ученые из Европейского космического агентства (ЕКА)
500 лет процветания в огромных дворцах: почему исчезла Минойская цивилизация
Минойская цивилизация была обнаружена в начале XX века британским археологом Артуром Эвансом
Саудовская Аравия. Экспорт нефти в обход Ормузского пролива - на полную мощность переведен нефтепровод «Восток — Запад» в марте 2026 г.
Bloomberg
Бельгия. Бюджетных средств для поддержки населения не осталось в марте 2026 г.
Глава Центрального банка Бельгии Пьер Вунш
Испания. Вмешательство правительства положило конец стремительному росту цен на топливо в марте 2026 г.
EL PA?S
Китай завершил инвентаризацию патентной базы вузов и НИИ
Государственное управление по делам интеллектуальной собственности Китая /ГУИС/
Германия. Молодые граждане от 17 до 45 лет обязаны получать разрешение бундесвера на выезд из страны на срок более трех месяцев
Минобороны Германии
Канада. Цены на бензин выросли примерно на треть за март 2026 г.
Директор Института энергетической и экологической политики при университете Куинс профессор Уоррен Мэби
Испания. Инфляция взлетела до 3,3% за первый месяц войны в Иране
Отчет Национального института статистики (INE)
Турция. Экспорт в страны Персидского залива снизился на 36,5% в марте 2026 года
Министр торговли Турции Омер Болат
Китай. Высокотехнологичные отрасли показали рост на 14,6% в І кв. 2026 года
Главное налоговое управление КНР
Германия. Деловой климат в немецкой химической промышленности упал до -25,0 п. в марте 2026 г.
Исследование института Ifo
Германия. 66% немцев чувствуют себя чрезмерно обремененными налогами в 2026 г.
Опрос институтом Infratest
Германия. Глубокий структурный перелом переживает промышленность, но о деиндустриализации не может быть и речи
Три исследования, проведенные Институтом Ifo, Институтом немецкой экономики (IW) и Фондом Бертельсманна
Польша. Сумма задолженности предприятий достигла 45 млрд злотых по итогам 2025 года
Business Insider
Франция. Контроль над государственными финансами позволит снизить дефицит бюджета страны
Премьер-министр Франции Себастьен Лекорню
Центральны банк Польши запасается золотом в 2026 г.
Глава Национального банка Польши Адам Глапиньский
Китай создаст институциональные рамки системы комплексной оценки кредитного состояния предприятий
Канцелярия Госсовета КНР
США. Законодатели предлагают запретить использование человекоподобных роботов китайского производства
СМИ
В прошлом году украинцы увеличили покупательскую активность относительно 2024 года
Исследование Deloitte
Нидерланды. В крупнейших сетях супермаркетов яйца стоят на 38% дороже, чем пять лет назад
NL Times
Китай продвигает развитие индустрии космических вычислительных мощностей
Министерство промышленности и информатизации Китая
Индия. Правительство сообщило о технологических инновациях по преодолению газового кризиса в стране
Государственный министр окружающей среды Индии Суреш Гопи
Администрация президента США Дональда Трампа представила проект федерального бюджета на 2027 ф.г.
Пресс-служба Белого дома
Китай планирует регулировать услуги с использованием цифровых виртуальных людей
Государственная канцелярия интернет-информации КНР
Индия. Промпроизводство показало худший рост за четыре года в марте 2026 г.
The Economic Times
Мировая экономика. 74% потребителей уже используют ИИ при совершении покупок
Hurriyet Daily News
"Плавающий остров": Китай строит первую в мире 30-этажную морскую платформу
Шанхайский университет Цзяотун в Китае объявил о строительстве крупного инфраструктурного проекта
Алхимия в недрах Земли: ученые обнаружили "кухню", где готовится золото
Ученые выяснили, почему зоны субдукции действуют как “кухни по приготовлению золота” на Земле
Ученые нашли самый древний город мира: он существовал еще до появления египетской цивилизации
Один из крупнейших древних городов Мохенджо-Даро оказался намного старше, чем считали исследователи
Революционная химическая реакция: ученые обнаружили способ превратить хлеб в водород
Исследователи из Эдинбургского университета
Редкая коллекция: в Швеции археологи откопали сотни артефактов времен эпохи викингов
В центральной Швеции археологи обнаружили редкую коллекцию конного снаряжения эпохи викингов
Она работает: новейшая обсерватория обнаружила тысячи неизвестных объектов за несколько недель
Обсерватория имени Веры Рубин
Минздрав заинтересовался препаратом против радиационного поражения из США: СМИ сообщили детали
Access Newswire
Сорвали куш: США рекордно нарастили экспорт газа после начала войны в Иране
ExPro Consulting
Мировая экономика. Крупнейший поставщик нефти потерял половину экспорта в марте 2026 г.
Bloomberg
РФ потеряла половину доходов от нефти, но война в Иране все перевернула в марте 2026
Bloomberg
Китай. Объем инвестиций в основные фонды вырос на 1,8% за январь-февраль 2026 года
Данные Государственного статистического управления /ГСУ/ КНР
Украина. Налоговая перевыполнила план по поступлениям (?!): сколько налогов и сборов получила
Государственная налоговая служба Украины
В Украине дорожают сельхозземли и участки для застройки: рост цен иногда достигает 70%
СМИ
Украина. Правительство потратило более трех четвертей годового резерва за 3 месяца 2026 г. Какие риски?
Министерство финансов Украины
В Украине стартует прием заявок на господдержку индустриальных парков
Глава правительства Украины
Китай. Промышленное производство выросло на 6,3% в январе-феврале 2026 года
Данные Государственного статистического управления /ГСУ/ КНР
В Китае успешно прошёл первый полёт крупногабаритного транспортного беспилотника «Чанъин-8»
Жэньминь жибао
Китай. Морская экономика продемонстрировала рост 5,5% в 2025 году
Министерство природных ресурсов /МПР/ КНР
Китай. Объем розничных продаж потребительских товаров вырос на 2,8%. в январе-феврале 2026 года
Государственное статистическое управление /ГСУ/ КНР
Топливный кризис: 20% членов ЕБА уже пересмотрели свои цены
Европейская бизнес ассоциация
Уровень безработицы в городах и поселках городского типа в Китае составил 5,3% в январе-феврале 2026 года
Синьхуа
Мировая экономика. Война в заливе заставляет автопром панически искать алюминий: даже в РФ
Financial Times
Южная Корея частично запрещает использование авто на фоне нефтяного шока
Financial Times
Китай. ГСУ КНР впервые обнародовало новый показатель онлайновых розничных продаж товаров и услуг
Государственное статистическое управление /ГСУ/ КНР
Украина. Два месяца 2026 года "съели" две трети прошлогоднего роста ВВП
Минэкономики Украины
Иран впервые разрешил китайскому кораблю пройти через Ормузский пролив за деньги
Lloyd's List
Китай. Экономика резко пошла вверх: какая страна выигрывает от войны в Иране
Financial Times
Нефтяные резервы Испании и других стран мира
Отчет Международного энергетического агентства (МЭА)
Германия. Инновационный потенциал компаний снижается
Мнение эксперта по инновациям фонда Бертельсманна. WirtschaftsWoche
Национальный банк Польши рассматривает возможность торговли золотом для финансирования потребностей армии
Business Insider Polska
ЕС создаст собственную платформу генеративного искусственного интеллекта к концу 2026 года
Politico
Китай. Объем ключевых отраслей ИИ превысил 1,2 трлн юаней в 2025 году
Министр промышленности и информатизации КНР Ли Лэчэн
Китай. Индекс цен производителей снизился на 0,9% в феврале 2026 года
Государственное статистическое управление /ГСУ/ КНР
Мировая экономика. Страны-члены МЭА высвобждают крупнейшие в истории нефтяные резервы
Страны-члены Международного энергетического агентства (МЭА)
Китай обнародовал национальную систему стандартов гуманоидной робототехники и воплощенного ИИ /HEIS/
Министерство промышленности и информатизации /МПИ/ КНР
США. В семи федеральных округах выросла экономическая активность
«Бежевая книга» Федеральной резервной системы (ФРС) США
Украина. Правительство выделило 3 миллиарда на развитие науки: на что пойдут средства
Ппремьер-министр Украины
В Китае обнародован документ о стимулировании высококачественного развития страхования в сфере науки и технологий
Министерство науки и технологий Китая, Главное государственное управление по финансовому надзору и контролю КНР, Министерство промышленности и информатизации КНР и Государственное управление по делам интеллектуальной собственности КНР
Германия объявила о пакете реформ для сокращения дефицита бюджета на 2026 год
Министр финансов ФРГ Ларс Клингбейль
Турция. Инфляция достигла минимального уровня 30,65% за четыре года в январе 2026 г.
Статистический институт Турции (TUIK)
Германия. Дефицит госбюджета составил около 119,1 млрд евро в 2025 году
Федеральное статистическое управление ФРГ
Индия. Валютные резервы достигли рекордных $725,727 млрд в феврале 2026 г.
Отчет Резервного банка Индии
Украина. Отрасли, внесшие наибольшие налоговые поступления в госбюджет в январе 2026 г.
Государственная налоговая служба Украины
"Компании одного лица"+"Супер-индивидуалы": как ИИ формирует в Китае новую парадигму предпринимательства
Синьхуа
Мировая экономика. Не Россия и не Индия: кто возглавил список внешнеторговых партнеров Китая в 2025-м
Рейтинг крупнейших торговых партнеров КНР. visualcapitalist.com
Украина. Минфин начал готовить бюджетную декларацию на 2027-2029 годы
Министерство финансов
Украина. Расходы госбюджета на 13,9% больше чем год назад в январе 2026 года
Министерство финансов Украины
Китай. Установленная мощность солнечных и ветряных электростанций выросла на 22% в 2025 году
Государственное управление по делам энергетики КНР
Среднее значение Индекса продовольственных цен ФАО снижается пятый месяц подряд в январе 2026 года
Аналитический материал
"Сбалансированный, бездефицитный": Кабмин утвердил бюджет Пенсионного фонда-2026
Министерство социальной политики, семьи и единства Украины
Рекордный урожай кукурузы в США увеличивает давление на мировые цены в 2026 г.
Аналитик StoneX Brazil Market Intelligence Рафаэль Буласкоски
Китай приступил ко второму этапу испытаний мобильной технологии 6G
Министерство промышленности и информатизации КНР
Германия. Власти представили ежегодный экономический доклад на 2026 г.
Ежегодный экономический доклад — центральный стратегический документ немецкого правительства в области экономической политики
Украина. Оборонная промышленность обеспечила треть роста ВВП в 2024 году
Министр стратегических отраслей промышленности Украины
Тайвань закупил около 97 950 тонн пшеницы американского происхождения в марте 2024
Тайваньская Ассоциация мукомолов
Главные черты личности, которые есть у всех миллионеров
В 2020 году швейцарский банк Credit Suisse поделился, что в мире существует около 56 миллионов долларовых миллионеров. Большая часть из них живет в США, Китае и Японии
Компания Chrysler будет выпускать только электромобили к 2028
генеральный директор Chrysler Крис Феуэлл
45% украинцев регулярно не хватает денег
аналитика Независимой ассоциации банков Украины (НАБУ) «Исследование рынка кредитования в Украине»
В Украине в среднем выплачивали 3 507,51 грн пенсии в 2020: за год она возросла на 13,8%:
пресс-служба Пенсионного фонда Украины
Украинская компания попала под санкции США из-за нефти из Венесуэлы
«Голос Америки» со ссылкой на Минфин США
США. Tesla выбрала два места для строительства своего нового крупнейшего завода
Рассматриваются Остин (штат Техас) и Талса (штат Оклахома)
Власти Индии анонсировали масштабный пакет финансовых стимулов
премьер-министр страны Нарендр Моди
В Украине стартовал проект кредитования аграрной отрасли с участием ЕИБ
пресс-служба Минэкономразвития Украины
В Украине Кабмин установил 2% пошлину на импорт электроэнергии из РФ
сообщение комитета ВРУ по вопросам энергетики и жилищно-коммунальных услуг
Украина. Вкладчики банка Михайловский получили почти 2,5 млрд грн возмещения
пресс-служба ФГВФЛ Украины
Белорусская компания получила рекордный подряд на строительство дороги в Украине
“Наші гроші” со ссылкой на данные в ProZorro
Кабмин установил лимиты абонплаты за жилищно-коммунальные услуги
Формула учитывает размер прожиточного минимума и средний количественный состав домохозяйства, коэффициент среднего по стране размера расходов на оплату ЖКУ (0,15)
Украина. Банки наращивали кредитование физлиц на 5,8% за 1-й кв 2019 и на 34,4% год к году
пресс-служба НБУ
В Турции планируют выпускать электротракторы, способные работать на одном заряде 8 часов
TRT Haber
В Украине хотят ввести медстрахование: с каждого по 400 грн
Застрахованными должны быть все, говорится в законопроекте №9163
Мировой рынок печатающей техники практически не растёт - только на 0,9 % больше в 2018
Компания International Data Corporation (IDC) опубликовала статистику по мировому рынку печатающей техники (Hardcopy Peripherals, HCP)
Стало известно, как будут рассчитываться пенсии работающих пенсионеров с 1 апреля 2018
пресс-служба Пенсионного фонда Украины
Samsung запатентувала смарт-светр, що перетворює енергію людини, заряджає гаджети
Gagadget.com
Украина. Оценка привлекательности банковского сектора для иностранных инвесторов
издание Realist
Американские конгрессмены хотят добиться приостановки сотрудничества Украины с Россией по вопросам обслуживания межконтинентальных баллистических ракет для РВСН
Аналитический материал
Проституция, наркотики и контрабанда в ВВП Италии
Доходы от проституции, продажи наркотиков и контрабанды будут включены в расчеты объемов ВВП Италии
СНГ. Украина – не Россия: топ-5 отличий между двумя моделями экономик
Аналитический материал
СНГ. Российскому бизнесу пообещали "налоговые льготы" в обмен на $5 млрд инвестиций в Крым
Такое решение приняло правительство России на заседании 27 марта 2014
США. Деловая активность в секторе услуг продолжала расти в январе 2014
Соответствующий индекс вырос до 54 пунктов, свидетельствуют данные Института управления поставками (ISM)
Украина. Национальный банк Украины потребовал от банков раскрыть сведения о всех своих собственниках
Ранее банки должны были отчитываться только о владельцах существенного участия, принадлежащим более 10% акций
Мировая экономика. ЕС готов предоставить Украине доступ к газовой системе через Словакию
Тем самым это в значительной степени сократит зависимость от импорта энергоносителя из России по высоким ценам
Глава госслужбы занятости Наталья Королевская обещает до конца года трудоустроить 26 тыс человек
Она напомнила о трех критериях, по которым будет оцениваться деятельность службы занятости
МВФ отключит газ. Насколько вырастут коммунальные тарифы
Аналитический материал. Почему повышение тарифов на коммунальные услуги неизбежно
ЕС. Кипру не хватает 75 млн евро для избежания дефолта в апреле 2013
Дефицит наличных средств в казне составляет 160 млн евро, а в резерве правительства имеется 85 млн евро
Украина. Сколько украинцы готовы отдавать на милостыню?
Большинство украинцев не готовы давать милостыню больше пяти гривен, при этом половина жителей страны определяется с тем, стоит ли подавать милостыню в зависимости от того, кто просит и на что
ЕС. Бельгийцев признали богатейшими в ЕС с рекордной суммой финактивов в 67 тыс евро
По данным Национального банка Бельгии, недвижимые активы бельгийцев выше, чем финансовые, а общая стоимость недвижимого имущества жителей страны – около триллиона евро
США. Прибыль Bank of America снизилась на 65% по итогам IV кв 2012
Чистая прибыль сократилась до $700 млн, или 3 цента на акцию, а за аналогичный период годом ранее BofA зафиксировал прибыль в $2 млрд, или 15 центов на акцию
Азия. КНР впервые за 12 лет рассекретила данные о социальном неравенстве
Коэффициент Джини в Китае составил 0,474 в 2012, что говорит об относительно высоком уровне социального неравенства
ЕС. ЕК выделила 70 млн евро странам юго-восточного региона по программе "Эразмус Мундус"
Всего ЕК объявила конкурс заявок на сумму около 200 млн евро в рамках финансируемой ЕС программы “Эразмус Мундус II” на 2013
Бережливость – самая вредная, по мнению производителей, привычка, которой обзавелись люди в последнее время
Первая волна кризиса схлынула, но желание экономить осталось
СНГ. Газпром удвоил чистую прибыль по сравнению с 3-м кв 2011 в 3-м кв 2012
Чистая прибыль крупнейшего в мире производителя газа – Газпрома по стандартам МСФО выросла до 305 млрд руб со 152 млрд руб за аналогичный период 2011
Украина. Кабмин утвердил порядок компенсации 3,9 млрд грн для "Нафтогаза"
Главным распорядителем бюджетных средств и ответственным исполнителем бюджетной программы является Минэнергоугля
Швейцарский национальный банк продолжил ужесточение правил в апреле 2012
Банк Швейцарии создал самостоятельную единицу, подчиняющуюся председателю правления и, при необходимости, Председателю Комитета по аудиту Совета Банка
ЕC. Греция одобрила кредитную программу ЕС
"Тройка" международных кредиторов (Еврокомиссия, ЕЦБ и МВФ) предлагает Греции 130-миллиардную кредитную программу и списание долга на 100 миллиардов евро
ЕC. Решения S&P о понижении рейтинга будет иметь далекие последствия за пределами Еврозоны
Германия, возможно, сохранит кредитный рейтинг, но решение о сокращении рейтинга Франции до АА+, означает, что Берлин будет платить больше
Украина. Трудовые эмигранты стали присылать больше денег
За три квартала 2011 объем частных денежных переводов из-за рубежа составил $5,126 млрд - на 21% больше, чем за три квартала 2010
Барак Обама выбрал нового экономического советника
Предполагается, что администрация президента использует опыт экономиста в решении проблемы безработицы
Азия. Китай: г. Пекин стремится к сокращению годового потребления угля до 20 млн тонн
Об этом сообщил представитель пекинской администрации
РФ. Число убыточных банков выросло на 40% в 2011
числе проблемных на 1 августа оказались 127 кредитных организаций
Азия. Уровень безработицы в Японии за июль вырос до 4,7% в июле 2011
В июне доля безработных составляла 4,6% от трудоспособного населения страны
Банковский регулятор ЕС рассматривает механизмы помощи банкам на случай кризиса
Европейская банковская организация (ЕБО) рассматривает возможные опции для оказания финпомощи банкам региона, которые будут испытывать сложности с ликвидностью, сообщает газета The Financial Times.
МВФ согласился выделить Сербии миллиард евро
По условиям договоренности с МВФ, Сербия должна сократить государственные расходы
ЕС. Индекс делового климата в Германии вырос до 110,3 пункта в январе 2011
... до 20-летнего максимума
2010 год признали самым теплым за всю историю наблюдений
Среднегодовая температура в 2010 году составила 14,53 градуса Цельсия
РФ. Глава Банка России: задача на 2011 год — снизить инфляцию до 6-7%
В июле 2010 года годовая инфляция снизилась до 5,5%
Азия. Потребление нефти в КНР выросло на 15,2% в ноябре 2010
...из-за дефицита дизтоплива
Pixel Qi анонсировала три новых отражающих дисплея
Производством отражающих экранов займется тайваньская компания Chunghwa Picture Tubes
В Центральном Китае обнаружено крупное месторождение каменной соли
разведанные запасы которого оцениваются в 4,3 млрд тонн
США. Потребительская уверенность в США остается негативной
только 12% респондентов выразили доверие экономике
Forbes составил рейтинг крупнейших покупок миллиардеров
самую дорогую покупку в мире в 2010 году совершил россиянин, Роман Абрамович
ЕС. Минфин Кипра: Страна вышла из рецессии
Кипр перенес кризис достаточно легко по сравнению с другими государствами еврозоны
США. Рост ВВП США составил 2,6% в III кв. 2010
Аналитики прогнозировали, что рост показателя составит 2,8%
РФ. МЭР: Рубль окреп к доллару на 2,8% в январе-ноябре 2010
Ослабление российской валюты к швейцарскому франку составило 0,65%
Азия. Банк Японии оставил свою монетарную политику без изменений
В этом месяце ЦБ начал приобретать финансовые активы в рамках широкомасштабного пакета мер
Азия. ЕС поможет КНР с признанием его экономики рыночной
договорились о том, что ЕС рассмотрит вопрос об отмене ограничений на экспорт в Китай высокотехнологичных товаров
ЕС. Грецию, Ирландию и Португалию призывают покинуть еврозону
Идея выхода слабых экономик ЕС из еврозоны начала циркулировать в мировых финансовых кругах примерно год назад
ЕС. Греция отстает от программы сокращения дефицита бюджета
рецессия в Греции будет глубже, чем предполагалось ранее
Украина. Сальдированная чистая прибыль банков Украины составила 1,204 млрд грн в ноябре 2010
Банки Украины вернулись к прибыльной деятельности
Азия. Объем торговли КНР и Тайваня вырос на 39,7% в 2010
За 11 месяцев 2010 года товарооборот составил $131 млрд 760 млн
Создана реалистичная модель движения толпы
Исследователи из университета Тулузы и Швейцарского федерального института технологий в Цюрихе ...
Надежна ли виртуальная ИТ-инфраструктура?
Виртуализация – общепризнанный тренд во всем мире
Мировая экономика. В мире возник дефицит ликвидности доллара США
ФРС США в мае привела в действие временный механизм обмена валютой ...
Asustek выпустила нетбук с матовым экраном
Компьютер базируется на процессоре последнего поколения Intel Atom N450 с тактовой частотой 1,66 ГГц
ЕС. Испания приняла план сокращения бюджетного дефицита
Восстановление испанской экономики по-прежнему отстает по темпам от других европейских стран
Мировая экономика. Сильный доллар снизил цену на золото
Золото 21.03.2010 подешевело в цене до минимальной за три недели
Азия. Вэнь Цзябао признает наличие проблем в финансовой системе Китая
В китайской финансовой системе существуют нерешенные вопросы, требующие продолжения реформы в этой области
Украина. Ревальвационное давление на гривню продолжилось
На украинском валютном рынке 22 марта 2010 года, продолжилось ревальвационное давление на гривню
Украина. Бюджет не смог получить доход
План доходов общего фонда госбюджета в феврале не был выполнен на 20%
Sony Ericsson выпускает смартфон с сенсорным экраном и HD-съемкой
Внешне устройство похоже на Sony Ericsson Xperia X10, но имеет более обтекаемую форму и базируется на операционной системе Symbian
Samsung расширяет линейку ноутбуков шестью новыми моделями
Новые модели ноутбуков Samsung R780, R580 и R480 с процессором Intel Core i5-520M отличаются повышенной быстротой работы
Sony анонсировала ноутбуки с процессором Core i7
Они оснащены процессорами Core i7 и дисковым массивом из четырех SSD-накопителей
Украина. В рейтинге экономических свобод Украина оказалась на уровне Африки
В рейтинге 2010 Index of Economic Freedom Украина занимает 162-е место среди 183 стран мира
Азия. В Иране будет проведена деноминация валюты
Из нынешнего номинала иранского риала предполагается "выбросить" три нуля
ЕС. Отпускные цены производителей в Германии снизились на 4,2% в 2009
Снижение отпускных цен в ФРГ побило 60-летний рекорд
РФ. Сводный индекс потребительских цен на товары и услуги в Москве вырос на 11,8% в 2009
Цены в Москве растут быстрее, чем по всей стране
Мировая экономика. ВБ: Мировой ВВП увеличился на 2,2% в 2009
В 2010 году рост составит 2,7%
Создана банковская карточка, показывающая состояние счета без банкомата
"Умную" банковскую карточку изобрела Группа промышленных дизайнеров из Южной Кореи
В Интернете появится социальная сеть для пользователей кредиток
В 2010 году в Интернете появится новая социальная сеть под названием Blippy
Благими намерениями... Климатический саммит завершился подписанием "важного" необязывающего договора
РФ. S&P повысил прогнозы по рейтингам ряда российских компаний
...после изменения прогноза рейтинга РФ
США. Оценка роста ВВП пересмотрена до 2,2% с 2,8% в III кв. 2009
Аналитики не ожидали пересмотра показателя
Украина. Может выйти по объему привлеченных инвестиций на докризисный уровень в 2010
Речь может идти о сумме от 10 млрд. долларов
Украина. Членство в Энергетическом сообществе ЕС будет стимулировать реформы энергетического сектора
США. Объем просроченных выплат по ипотеке достиг 42,06% в ноябре 2009
По словам аналитиков сложившая ситуация не изменится вплоть до 2011 года
США. Обанкротились семь банков за 19.12.2009
Таким образом с начала 2009 года в США закрылись уже 140 банков
Азия. ВВП Тибета составил $5,9 млрд
...увеличившись на 12,1% по сравнению с прошлогодним показателем
Азия. Эмиссия наличных денег в Китае превысила $32 млрд с начала 2009
...увеличившись на 72,5%
Мировая экономика. Долговые проблемы Дубая вызвали синхронизированный спад на мировых финансовых рынках
Биржевые индексы по всему миру - от Шанхая до Бразилии - обвалились
Чип величиной с ноготь вместит 250 миллионов страниц текста
...что примерно в 50 раз больше, чем емкость современных чипов памяти
Мировая экономика.Кризис обошелся каждому налогоплательщику в 10 тыс. долл.
ВВС: Всего мир потратил на борьбу с кризисом более $10 трлн.




UA
RU
EN
